非滿管式電磁流量計的發展及特點
溫馨提示:如果您對我們的產品、服務感興趣,或者有什么可以幫助您的,您可以
與我們在線交談,或者撥打我們的客服電話(微信/手機同號。) 。
關于非滿管式電磁流量計的發展及特點問題,相信是很多小伙伴感興趣的問題之一,關于這個問題,下面給大家淺析一下,供大家參考,希望對大家的工作和學習有所幫助。
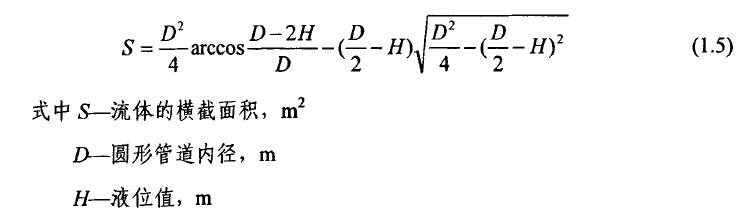
非滿管電磁流量計屬于利用上述電磁法測量非滿管流量的一種裝置。 它與普通電磁流量計的區別在于普通電磁流量計是傳感器截面積恒定,測量的是平均流量,非全管式電磁流量計流體截面積是變化的,不是完全充滿 與管道。 流量測量不僅測量通過傳感器的平均流速,而且測量流過傳感器的流體的橫截面積。 也就是說,非滿管電磁流量計的流量測量至少需要流速Y和值班液位兩個變量。 液位占空比與流體截面積S的關系如下:

方程 (1.5) 給出了液位負荷與流體橫截面積 s 之間的關系。 一旦得到液位占空比,就可以通過式(1.5)計算流體的截面積s,就可以得到流量Q。 現有的非滿管電磁流量計也是根據速度V和液位占空比這兩個參數來計算非滿管流量的。
技承儀表(上海)有限公司是主營壓力儀表,液位儀表,流量計與流量開關等產品研發和生產的高科技儀器儀表企業。05年建廠,近10年水質分析儀表,氣象儀表,壓力傳感器,壓力變送器,液位變送器,流量計等儀表外貿貼牌生產經驗,大量進口配件現貨庫存,為廣大客戶提供優質的產品和服務。
如果您有需求,請與我們接洽,我們將請我們的技術人員幫你解決問題。