金屬管浮子流量計的優點及刻度比例轉換
溫馨提示:如果您對我們的產品、服務感興趣,或者有什么可以幫助您的,您可以
與我們在線交談,或者撥打我們的客服電話(微信/手機同號。) 。
金屬管浮子流量計有很多優點的,比如體積小,檢測范圍大等等都是它的優點,下面就來深入了解金屬管浮子流量計的優點以及它的刻度比例轉換。
對金屬管浮子流量計標度問題的說明:
在標準狀態下,金屬管浮子流量計的標定一般是出廠時用水、空氣或其它介質標定;此外,由于環境影響和實驗條件的限制,在實驗室檢定時,實際的標定條件一般也達不到流量計的標定狀態,因此,為了能在實驗室狀態下檢定流量計,就必須在實驗條件下標定流量。
刻度比例轉換的實例分析
本實驗室目前有DN80口徑,精度等級為4.0,浮子材料為不銹鋼,標定介質為乙醇(20℃)的金屬管浮子流量計,標定流量范圍為(10~80m3/h)。實驗條件下,由于水流量標準裝置僅適用于實驗室校準,計量單位為DN(25~100)mm,水流量范圍為(2~100)m/h,采用標準表法和稱重法先后對6m/h的金屬管浮子流量計的水流量點進行了10次校準。計量時,進水溫度保持在22.8±0.1℃,進水壓力在178kPa~188kPa之間。設備的標準表采用電磁流量計,先期測量的標準表讀數是4.011m/h,第二次是4.012m/h,第三次是4.010m/h,第四次是4.011m/h,第五次是4.013m/h,第六次是4.012m/h。第七次是4.011m/h,等等,稱重法測量10次的數據分別是:先測68.11秒,后測75.45kg,第二次測68.88秒,第三次測74.38kg,第二次測69.01kg,第三次測74.85kg,第四次測74.78kg,電子稱重法測量75.64kg,第三次測76.51kg,電子稱重法測量77.32kg,電子稱重法測量75.28kg,電子稱重法測量76.17kg。
由于金屬管浮子流量計原理上都是垂直安裝,浮子有一定的重力,如果介質壓力太小,浮子自然頂不住,指針也不能隨浮子運動。因為這種金屬管浮子流量計的精度等級為4.0,所以經5m/h流量點轉換后的流量范圍為3.84×(1±4%)m/h,或(3.69~3.99)m/h。根據以上試驗及對試驗數據的分析,發現當介質粘度相差不大時,可對浮子流速計刻度流速進行轉換,實驗結果滿足理論計算值的容許范圍。但在實際標定介質狀態與流量計出廠標定介質狀態差異較大時,必須考慮介質粘度對浮子阻力系數的影響,不可忽視。
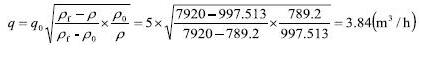
通過查技術手冊可知,乙醇密度為789.2kg/m,20℃時乙醇粘度為1.2×10-3Pa·s,水溫為23.1℃時水的密度為997.513kg/m,動力粘度為0.9358×10-3Pa·s,浮子材料為不銹鋼,密度為7920kg/m。
當浮子穩定在平衡位置5m/h 處時,由標準表讀數得出流量平均值為q1=3.92m/h。由電子稱的讀數得出稱重法流量平均值為q2=3.96m/h。另外,兩種介質的粘度相差不大,因此可以不考慮兩種介質中浮子的阻力系數對流量的影響,另外還可以推算出刻度流量的理論計算值為:
于是,只要操作者及時發現了問題,解決起來很簡單,操作者只需將金屬管浮子流量計取出來,首先停止工作,然后清除浮子上的雜質,再將浮子及管道內的雜質全部清理干凈,這樣金屬管浮子流量計便可再次正常運行。浮子式流量計產品優勢金屬管浮子式流量計在當今生產和生活中已得到了廣泛的應用。
金屬管浮子流量計的優點:
根據所用材料不同,浮子流量計可以分為玻璃管、塑料管和金屬管三種。與玻璃管和塑料管相比,金屬管浮子流量計不存在錐管破裂的風險,使用溫度和壓力范圍較寬,并且還具有玻璃管和塑料管浮子流量計不具備的遠傳信號功能,因此,應用更為廣泛。金屬管浮子流量計按其信號傳輸方式可分為現場指示型和遠傳型。在位置的指示式就是通過指針直接表示流量。
目前,金屬管浮子式流量計已在生產和生活中得到了廣泛的應用,由于測量原理的不同,相較于其它類型的流量計,金屬管浮子式流量計還有特獨的優點,為使其工作穩定,用戶應將其安裝在無強電、無磁場干擾的環境中,本文就此與大家分享。金屬管浮子式流量計的優點表現在以下幾個方面:
適用范圍廣泛
現在很多高端領域的測量儀器都要靠進口,據統計,每年從國外進口的儀器設備價值近六千億元,其中高科技儀器設備價值約一千億元,年增長30%左右,高科技儀器設備或涉及高科技的儀器設備不能進入中國市場,因此,我們面臨的問題主要是科技含量低、創新能力差、市場混亂等問題,高科技儀器或涉及高科技的儀器設備基本上喪失了國際競爭力,大項目缺乏強有力的支持。近年來,金屬管浮子流量計行業已進入相對飽和、競爭相對激烈的發展階段。在高考的大環境下,中國金屬管浮子流量計也面臨著嚴峻的問題,我們該如何解決?
可以根據流動工藝參數的要求靈活設計。如在低溫條件下,由于介質傾向于結晶和凝固,或為了防止,低溫流體從外部吸收熱量,或管道中溫度高于室溫的流體流過儀表時,由于溫度下降而造成浮子運動不正常,或流體粘度有明顯變化,影響測量的特殊要求,可采用夾套保溫式流量計;如流速波動較大,可采用帶阻尼措施的流量計。
采用新型的磁耦合結構設計,使信號傳輸更為穩定,提高了工作效率。用于測量的部件可以選擇不同的材料,以適應不同場合的需要。抗高溫,耐高壓,耐腐蝕的金屬管浮子流量計可以測量高溫高壓流體,可以測量溫度高達400℃和壓力高達70MPa的液體和氣體流量。利用磁耦防腐感應顯示系統顯示流量,在這種情況下已經無法用人眼觀察浮子的位置了。流量計的材料本身通常是不銹鋼,部分襯以工程塑料,可以測量腐蝕流體。由于它具有良好的耐熱、耐壓性能,可用于惡劣環境。